七年级【上册】赠送习题参考答案(00250FAL07001)(4)
| 摘要:数学 第二章有理数的运算 参考答案: 一、选择题 1.BCCABDCBBB 二、填空题 11.7 12.-3或-9 13.8086或8082. 三、解答题…… |
数学 第二章 有理数的运算 参考答案:
一、选择题
1.B C C A B D C B B B
二、填空题
11.7
12. -3 或 -9
13. 8086或8082.

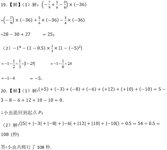
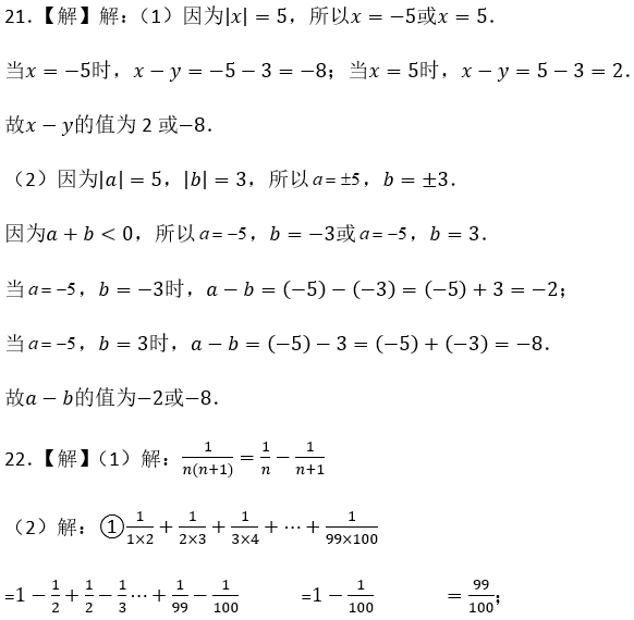
三、解答题



穿越到手机上阅读
● 编辑 : 娜娜 / 小威 / 沈晓沫
● 发布 : 晓沫 审核 : 朤朤 / 陌语
● 热线 : 158-1078-1908
● 邮箱: 770772751#qq.com (#改为@)




